澳门金沙娱乐城-澳门金沙娱乐场 (中国)有限公司官网

教學周

門戶系統 學生 教師 校友 考生 VPN 郵箱 圖書館 EN

南大新聞

首頁 / 南大新聞 / 正文

化學學院蔡琥團隊再次發表JACS論文

作者:化學學院時間:2020-01-09
攝影 化學學院 單位 化學學院
  

本網訊(化學學院)在國際著名分子鐵電科學家熊仁根教授提出的“似球-非球”理論的指導下,近日,蔡琥團隊成功設計合成出了一例類陶瓷的分子鐵電體[3,2,1-dabco]BF4。在室溫下,該分子鐵電體表現出優異的鐵電性能和分子成膜性能。相關研究結果以“Rational Design of Ceramic-Like Molecular Ferroelectric by Quasi-Spherical Theory”為題,在化學領域頂級期刊《美國化學會志》(Journal of the American Chemical Society)發表。該論文的第一作者為魏振宏博士,第一完成單位和通訊作者單位均為南昌大學。這是繼2018年在JACS上報道第一例反鈣鈦礦分子鐵電體后,蔡琥團隊又一次在分子鐵電領域取得重要研究進展。

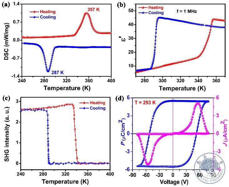
圖1.(a)類陶瓷分子鐵電體[3.2.1-dabco]BF4的合成策略示意圖, (b)分子[3.2.1-dabco]BF4立方對稱結構圖。

目前,無機陶瓷鐵電體(例如:PZT、SBT、BTO)因其成膜成本高、制備需要高溫燒結、含有潛在毒性元素等缺點,限制了其在柔性可穿戴器件的應用。與之相比,分子鐵電材料因其易于加工、對環境友好、重量輕、低聲阻抗和機械柔性而受到了研究人員的廣泛關注,它可作為常規陶瓷鐵電材料的可行替代品或有益補充。然而,由塑性相變誘發鐵電的多晶型陶瓷分子鐵電體的報道屈指可數,并且絕大部分分子鐵電體呈現單軸的鐵電性能,極大地限制了其在實際應用中的潛力。

圖2[3,2,1-dabco]BF4鐵電性能的測試表征

該研究團隊在本工作中運用“似球-非球”理論,通過化學設計的方法合成了一種在357 K上具有m3mFmm2型鐵電相變的陶瓷分子鐵電體,1,5-二氮雜二環[3.2.1]辛烷四氟化硼([3.2.1-dabco]BF4)。其可在室溫下以多晶薄膜形式顯示出色的鐵電性能。基于已報道的4/mmmFmm2型分子鐵電[2.2.2-dabco]BF4,運用化學設計的方法將[2.2.2-dabco]+陽離子改為其同分異構體[3.2.1-dabco]+,一定程度上降低了分子的對稱性并保持了準球形分子構型,從而使其極軸從2重軸提升到了6重軸,自發極化強度Ps從4.9 μC·cm-2增大到了5.5μC·cm-2。

值得一提的是,該設計思路成功地將鐵電相變從四方晶系到正交晶系的轉變擴大到從立方晶系到正交晶系的轉變。鐵電相變中極大的對稱性破缺有利于增大鐵電相到順電相的熵值,該發現將為降低制冷領域能源損耗提供一種新的途徑,是分子鐵電在固體制冷領域的新的突破。這一工作也為類陶瓷分子鐵電體的合成提供了全新的設計思路,極大地提高了其在可穿戴設備、柔性材料、生物機械等領域的應用潛力。

論文鏈接:https://pubs.acs.org/doi/10.1021/jacs.9b11665


編    輯:涂金鳳

責任編輯:許  航

网上百家乐官网是现场吗| 百家乐官网筹码多少钱| 百家乐五湖四海娱乐平台| 百家乐博彩安全吗| 澳门百家乐官网牌例| 百家乐真钱路怎么看| 百家乐网络投注| 大发888娱乐城攻略| 博E百百家乐官网娱乐城| 将军百家乐的玩法技巧和规则| 视频百家乐官网试玩| 大发888创建账号翻译| 巴厘岛百家乐官网的玩法技巧和规则| 百家乐赌博赌博网站| 至尊百家乐官网停播| 大发888娱乐城下载最新版| 澳门百家乐官网群代理| 足球博彩网站| 自贡百家乐官网赌| 顶级赌场连环夺宝| 金城百家乐官网平台| 跪求百家乐打法| 百家乐官网平注7s88| 菲彩百家乐的玩法技巧和规则 | 金钱豹百家乐的玩法技巧和规则 | 大发888网址是什么| 神娱乐百家乐官网的玩法技巧和规则| 胜负彩| 盈得利百家乐娱乐城| 真人百家乐信誉| 和记娱乐城| 百家乐太阳城菲律宾| 在线百家乐官网技巧| 和记娱乐城| 百家乐庄牌闲牌| 网络百家乐金海岸破解软件| 百家乐官网网站源码| 葡京百家乐的玩法技巧和规则| 平台百家乐官网的区别| 网络赌博平台| 大发888怎么了|